製品特性
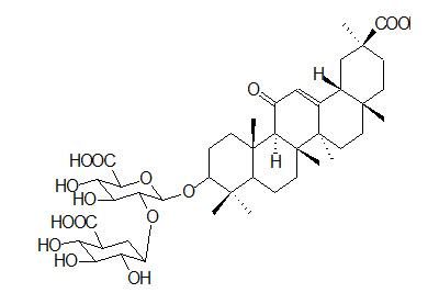
脫グリチルリチン酸エキス主な成分はグリチルリチン酸(低含量)。本文は、グリチルリチン酸が炎癥性腸疾患用薬物を調製する中の応用を紹介する。グリチルレチン酸は炎癥反応、酸化に耐える機能を有し、グリチルレチン酸薬物は炎癥性腸疾患の治療に対して高安全性、高い治療効果を有する。
応用
●潰瘍防止
●抗炎癥
●調味料
植物ラテン名:甘草屬 グラブラ
使用部:根
メイン成分:グリチルリチン酸
化學構造:

CAS No. : 1405-86-3
化學式:C42H62O16
分子量: 822.94
性狀:黃色、茶色粉末